MOSFET fT頻率分析
MOSFET的電流增益特征頻率fT,用于表征MOSFET的電流放大的最高工作頻率。

fT定義
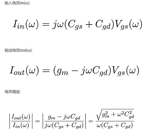
在MOS源極和漏極接交流地時,器件的小信號電流增益降至1的頻率稱為:“transit frequency”(fT)
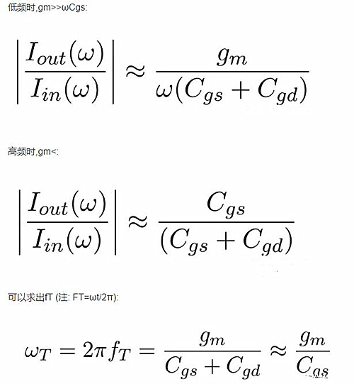
fT計算
MOS的小信號模型如下:




影響因素:
1) 增大Vgs可以增大FT
2) 減小溝道L會增大FT,所以使用工藝尺寸更小的MOS管,可以獲得更高的工作頻率。
3) 增大偏置電流可以增大FT(FT:∝電流的平方根)

4) FT隨著過驅動電壓而增加,但隨著垂直電場增強到一定程度,會導致遷移率明顯逐漸減小,而使FT-Vod曲線變平,不再是線性直線。
〈烜芯微/XXW〉專業制造二極管,三極管,MOS管,橋堆等,20年,工廠直銷省20%,上萬家電路電器生產企業選用,專業的工程師幫您穩定好每一批產品,如果您有遇到什么需要幫助解決的,可以直接聯系下方的聯系號碼或加QQ/微信,由我們的銷售經理給您精準的報價以及產品介紹
聯系號碼:18923864027(同微信)
QQ:709211280

