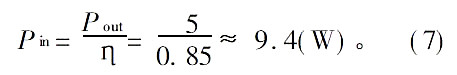
由變換器預定技術指標可知變壓器初級側電壓Vdcmin= 240 V, Vdcmax= 380 V, 預設效率η= 85%, 工作頻率f = 65 kHz, 電源輸出功率P out= 25 W。
變壓器的輸入功率:

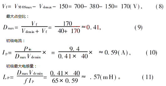
根據面積乘積法來確定磁芯型號, 為了留有一定裕量, 選用錳鋅鐵氧體磁芯EE25/ 20,電感量系數A L=1750 nH/ N2 , 初始磁導率μi= 2300, 有效截面積A e= 42.2 mm2 .
因為所選的MOS管的最大耐壓值V MOSmax= 700 V.在150 V 裕量條件下所允許的最大反射電壓:

其中, f 是開關頻率, Hz.

其中, 磁感應強度Bw= 0?? 23 T ; 由于此變換器設計在斷續工作模式k= 1( 連續模式k= 0.5)。

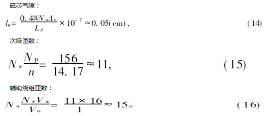
其中, Va 是輔助繞組電壓,V .
為了減小變壓器漏感, 采用夾心式繞法, 初級繞組分N p1 ( 78 T ) 和N p2 ( 78 T) 兩部分繞制,
如圖4 所示, Np1 繞在骨架最里層, 次級繞組N s繞在N p1和N p2之間, 輔助繞組繞Na 在最外層。

圖4 變壓器繞制示意圖
電話:18923864027(同微信)
QQ:709211280
〈烜芯微/XXW〉專業制造二極管,三極管,MOS管,橋堆等,20年,工廠直銷省20%,上萬家電路電器生產企業選用,專業的工程師幫您穩定好每一批產品,如果您有遇到什么需要幫助解決的,可以直接聯系下方的聯系號碼或加QQ/微信,由我們的銷售經理給您精準的報價以及產品介紹

