基本的三極管放大電路圖目前有三種可實現,其操作原理也很簡單。
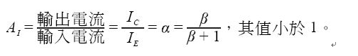
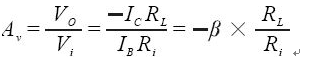
第一種:共基極放大電路,輸入端(EB之間),輸入阻抗低(約20~200 )是正向偏壓,輸出端(CB之間),輸出阻抗高(約100k~1M )為反向偏壓。

電流增益:當AI小于,而RL/Ri很大時,電壓增益會相當的高。


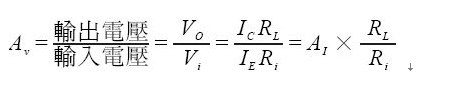
電壓增益:


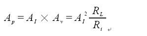
功率增益:當AI小于,其他不變,功率增益不會變大。


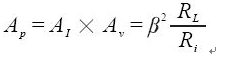
第二種:共發射極放大電路,多是應用在各放大器電路中(有電流與電壓放大增益性能)
其特性-輸入與輸出阻抗中等(Ri約1k~5k ;RO約50k。

電流增益:當負號輸出信號和輸入的信號反相(相位差°)


電壓增益:


功率增益:當AI小于,其他不變,功率增益不會變大。


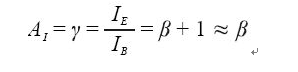
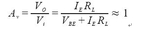
第三種:共集電極放大電路,高輸入阻抗及低輸出阻抗的特性可作阻抗匹配用,以改善電壓信號的負載效應。
輸入阻抗高(Ri約20 k );輸出阻抗低(RO約20 )。

電壓增益等于1,表示射極的輸出信號追隨著基極的輸入信號,所以共集極放大器又稱為射極隨耦器(emitterfollower)。
功率增益Ap = AI × Av≈β ,功率增益低。


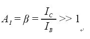
電流增益:

烜芯微專業制造二極管,三極管,MOS管,橋堆等20年,工廠直銷省20%,1500家電路電器生產企業選用,專業的工程師幫您穩定好每一批產品,如果您有遇到什么需要幫助解決的,可以點擊右邊的工程師,或者點擊銷售經理給您精準的報價以及產品介紹

